


原标题:湖北省人事考试院发布重要提示
来源:湖北发布
湖北省人事考试院发布
关于湖北省2022年
事业单位统一公开招聘考试温馨提示
以及
调整省直事业单位2022年统一公开招聘
岗位计划的公告
关于湖北省2022年
事业单位统一公开招聘考试温馨提示
各位考生:
湖北省2022年事业单位统一公开招聘考试将于2022年5月21日(星期六)上午在全省各市州(仙桃市除外)举行。根据当前新冠疫情防控形势,为保障广大考生和考务工作人员的生命安全和身体健康,方便广大考生顺利参考,现提示如下:
一、请考生在考试前做好自我健康防护,考前避免不必要的外出,不参加聚集性活动,不前往人群密集场所,确保考试时身体状况良好。14天内有国内中高风险地区或21天内有境外旅居史的考生,按要求完成集中隔离及居家监测后方可参加考试,隔离或居家监测期间不能参加考试。
二、请考生密切关注考试所在地的疫情防控政策,配合落实疫情防控措施(可使用“国务院客户端”微信小程序查询)。考试期间,持有效居民身份证原件、有效期内的核酸检测阴性证明和健康绿码参加考试。
三、若因疫情等原因推迟考试,我们将及时发布公告,请广大考生关注湖北省人事考试网和湖北省人事考试院微信公众号有关信息。
湖北省人事考试院
2022年4月27日
湖北省人事考试院发布公告
调整省直事业单位2022年统一公开招聘
岗位计划
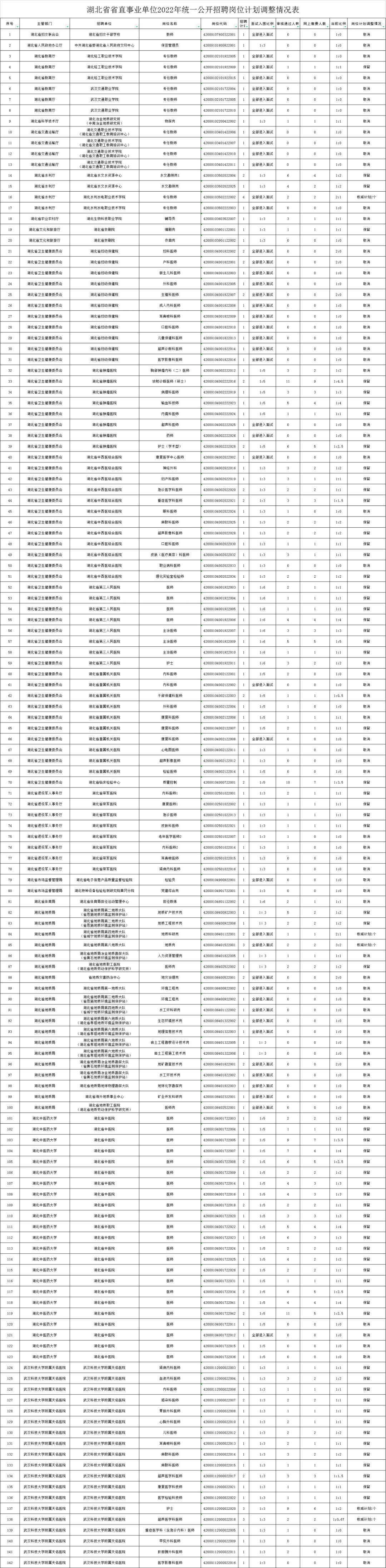
湖北省省直事业单位2022年统一公开招聘报名工作已经结束。按照《湖北省省直事业单位2022年统一公开招聘工作人员公告》关于笔试开考比例(面试入围比例)的规定,根据报名人员缴费确认情况,对于《湖北省省直事业单位2022年统一公开招聘工作人员岗位表》中未达到开考比例的岗位,经招聘单位申请、主管部门核准,现对岗位计划调整情况予以公告,具体岗位计划的保留、核减、取消情况详见附件。对被取消的岗位已缴费人员,由湖北省人事考试院通过原报名缴费渠道予以退费。
附件:(点击图片查看高清大图)

(注:图片及素材来源于网络,版权归原作者所有。如有侵权请联系删除,电话:027-85721622 。)